Russian Federation
Russian Federation
Purpose. The purpose of the study is to analyze in detail the results of satellite observations of the Black Sea in summer 2015 during the period of increased concentration of chlorophyll a in its deep-sea part. Methods and Results. The products of standard operational processing of the MODIS and VIIRS opti-cal data stored in the NASA archive were analyzed. These products were updated during the overall reprocessing of the entire archive content in 2022. To increase the reliability of final conclusions, syn-chronous observations from different satellites (Aqua, Terra and Suomi NPP) were compared and the spectral dependencies of sea surface reflectance were considered. Besides that, compared were the re-sults of evaluating the chlorophyll a concentration in the sea near-surface layer obtained using two dif-ferent methods: the one applied for standard operational processing in NASA and the alternative one based on calculating the phytoplankton-conditioned component of light absorption coefficient. This value is calculated by means of the GIOP (Generalized ocean color inversion model for retrieving ma-rine Inherent Optical Properties) procedure and is also included in the NASA archive among other standard processing products. Conclusions. The results of analysis of satellite observations in the Black Sea in summer 2015 have demonstrated the necessity in taking into account the manifestations of significant errors and distortions. After excluding the erroneous data from the analysis, it was found that over a large area in the eastern deep part of the sea at the end of summer 2015, the concentration of chlorophyll a derived from satellite data was of anomalously high values at the level of ~ 1–2 mg/m3
Black Sea, satellite observations, chlorophyll a concentration, optical characteristics, light absorption, MODIS, VIIRS, GIOP, phytoplankton, yellow substance
Введение
Работающие в космосе современные оптические приборы в режиме непрерывного глобального обзора морских акваторий регистрируют уходящее в космос излучение ряда длин волн видимого диапазона спектра, что позволяет при интерпретации получаемой информации раздельно учитывать эффекты, связанные с вариациями различных параметров атмосферы и воды в море и определять их числовые значения. Одним из основных параметров при этом выступает концентрация хлорофилла а (Ca) в поверхностном слое моря [1, 2]. Настоящая работа посвящена анализу результатов определения Ca в Черном море.
Анализировались содержащиеся в архиве NASA продукты стандартной массовой обработки данных, полученных приборами MODIS и VIIRS, установленными на спутниках Aqua, Terra и Suomi NPP. При использовании спутниковых данных в ряде случаев могут проявляться существенные погрешности или ограничения. Помимо инструментальных искажений, возникающих при регистрации излучения в космосе, к числу основных источников ошибок относятся эффекты, связанные с солнечным бликом, атмосферными помехами и специфическими региональными особенностями оптических свойств морской воды. В связи с этим необходимо внимательное выполнение контроля качества используемого материала и получаемых результатов.
Простейший способ повышения надежности итоговых результатов заключается в исключении искаженных данных из использования. В применяемой в NASA системе обработки предусмотрено исключение только таких фрагментов информации, которые подвержены наиболее грубым искажениям. Удобный в реализации методический прием дополнительной проверки достоверности получаемых результатов обработки спутниковых данных заключается в сравнительном комплексном анализе синхронных съемок с различных спутников [3]. Кроме того, может быть полезным сопоставление результатов определения Ca, полученных с использованием двух расчетных методов – применяемого в NASA при стандартной операционной обработке всех накапливаемых данных и альтернативного, основанного на вычислении обусловленной фитопланктоном составляющей показателя поглощения света в море. Эта величина определяется методом GIOP [1] и также содержится в архиве NASA в числе продуктов стандартной обработки. Еще один признак ошибок в данных состоит в получении лишенных физического смысла отрицательных значений коэффициента яркости морской поверхности в коротковолновой части спектра.
Указанные подходы к анализу спутниковых данных применялись при изучении аномалии, наблюдавшейся в поле Ca в Черном море летом 2015 г. Впервые на это явление обратили внимание авторы работы [4], где утверждалось, что Ca достигала 5 мг/м3. Вместе с тем в указанной работе использовались только стандартные результаты расчетов Ca из архива NASA, полученные по данным одного спутника Aqua, без внимательного выполнения контроля достоверности этих результатов. Как известно, обычно летом в глубоководной части Черного моря Ca в верхнем слое воды не превышает 0,5 мг/м3 [5–8]. Описанное в [4] явление представляет несомненный интерес, поэтому приведенные в этой работе выводы требуют дополнительной проверки и уточнения за счет учета данных, полученных всеми тремя приборами, и исключения из использования данных, которые могут содержать ошибки и искажения. Заметим, что необходимые для валидации используемых нами спутниковых данных прямые in situ измерения отсутствуют, поэтому проведение углубленного анализа этих данных является особенно актуальным.
Цель настоящей работы – провести тщательный анализ спутниковых данных Черного моря, полученных летом 2015 г. с целью изучения повышенных концентраций хлорофилла а в глубоководной зоне.
Материалы и методы
В описанном ниже анализе использованы съемки Черного моря установленными на спутниках Aqua и Terra приборами MODIS (MODIS-A и MODIS-T), а также прибором VIIRS на спутнике Suomi NPP. Рассматривались хранящиеся в архиве NASA (https://oceancolor.gsfc.nasa.gov/data/) продукты стандартной обработки накопленных измерений второго и третьего уровней (формат Level-2 и Level-3), подготовленные во второй половине 2022 г. при очередном их полном обновлении (https://oceancolor.gsfc.nasa.gov/data/reprocessing/r2022). В хо-де обновления использовалась модернизированная система обработки, что привело к заметным отличиям итоговых результатов по сравнению с предыдущей версией соответствующих данных. Для выполнения операций преобразования форматов представления анализируемых данных, компоновки рабочих массивов, подготовки представленных в псевдоцветах изображений моря использовалась созданная в NASA специализированная программа SeaWiFS Data Analysis System (SeaDAS, версия 9.0 (https://seadas.gsfc.nasa.gov/)).
В архиве NASA содержатся результаты определения большого количества параметров атмосферы и воды в море, включая Ca, спектральные значения коэффициента яркости морской поверхности (Rrs(λ)), показатели обратного рассеяния и поглощения света, а также составляющие показателя поглощения, обусловленные фитопланктоном и желтым веществом (в сумме с детритом). Для анализа Ca были использованы данные, полученные двумя различными методами – применяемым в NASA при проведении стандартной операционной обработки и альтернативным, основанным на результатах определения составляющей показателя поглощения света в море, обусловленной фитопланктоном.
Содержащиеся в архиве NASA числовые значения Ca определяются по формальной процедуре в виде функции от отношения Rrs(λ) для различных пар длин волн света λ, выбор которых зависит от того, в каком участке спектра находится максимум Rrs(λ). Эта функция предварительно настроена таким образом, чтобы в ней отражалась обобщенная в статистическом смысле закономерность изменчивости оптических свойств воды в Мировом океане [9, 10]. В общем случае такой подход не способен обеспечить точный учет всех разнообразных переменных факторов, от которых зависит измеряемое в космосе излучение при их произвольной независимой изменчивости [11, 12]. Как показывает опыт, хранящиеся в архиве NASA результаты определения Ca в водах Черного моря имеют довольно низкую точность [8, 13, 14]. В качестве одного из основных источников ошибок могут выступать эффекты, связанные с вкладом в поглощение света в воде желтым веществом [15–17]. Поэтому полезно дополнительно рассматривать результаты вычисления Ca согласно модели из [18] по следующей формуле:
Ca1 = 222·aph(443)1,64,
где aph(λ) – обусловленная фитопланктоном составляющая показателя поглощения света в море на длине волны 443 нм.
Величина aph(λ) определяется методом GIOP и также содержится в архиве NASA в числе продуктов стандартной обработки. Метод GIOP основывается на поиске модельного описания эмпирических спектральных значений Rrs(λ), определяемых на одном из первых этапов обработки спутниковых измерений при выполнении атмосферной коррекции. При этом используются физические модели, в функциональной форме выражающие зависимость Rrs(λ) от длины волны света и от содержания в воде основных примесей или их оптических свойств при некоторых фиксированных λ. Решение получается в результате минимизации расхождения между эмпирическими и модельными спектрами Rrs(λ). Основная особенность этого метода заключается в раздельном учете составляющих поглощения света, связанных с желтым веществом и фитопланктоном. Подробное обсуждение физического смысла и ограничений возможностей применения различных методов определения Ca по спутниковым измерениям приведено в [1, 2, 15–17, 19]. Сопоставление определения Са двумя методами должно способствовать повышению достоверности полученных результатов.
Исходными данными в расчетах Ca служат спектральные Rrs(λ), которые находятся на одном из первых этапов обработки результатов спутниковых наблюдений при устранении атмосферных помех. Для получения достаточно надежных итоговых выводов необходимо учитывать, что в эмпирических величинах Rrs(λ) могут проявляться различного рода ошибки и искажения [20–24]. Причины их возникновения в данных наблюдений Черного моря могут быть связаны со сложностью выполнения атмосферной коррекции, проявлениями солнечного блика, погрешностями задания калибровочных параметров прибора и др. При реализации метода GIOP искажения в величинах Rrs(λ) приводят к росту расхождения между их эмпирическими и модельными значениями. Следовательно, имеет смысл анализировать только отдельные ситуации, прошедшие специальную контрольную проверку. В зависимости от содержания решаемых задач и особенностей анализируемого материала с целью отбора пригодных для использования данных могут применяться различные способы и критерии. В реализованной в NASA обработке спутниковых измерений предусмотрено выполнение операций выявления и исключения из использования искаженных данных. Итоговыми результатами обработки являются продукты третьего уровня (формат Level-3). При их подготовке в NASA учитываются все те условия и критерии контроля достоверности, которые в системе обработки считаются актуальными для конкретных фрагментов информации. С описанием указанных выше критериев можно ознакомиться на сайте https://oceancolor.gsfc.nasa.gov/resources/atbd/ocl2flags/.
Как показывает опыт работы с наблюдениями Черного моря, в применяемой в NASA системе контроля устраняются наиболее грубые искажения. Поэтому с целью повышения надежности итоговых выводов методика проводимого нами анализа заключается в сопоставлении материалов, получаемых с помощью приборов, установленных на трех различных спутниках. Кроме того, при этом дополнительно рассматриваются спектральные зависимости Rrs(λ), получаются оценки расхождения между эмпирическими и модельными спектрами Rrs(λ) и выполняется сравнение результатов определения Ca двумя вычислительными способами.
Результаты и обсуждение
На рис. 1 приведены примеры космических наблюдений Черного моря летом 2015 г. Здесь представлены непосредственно взятые из архива NASA результаты определения Ca, полученные в ходе стандартной обработки данных прибора MODIS-A. Строго говоря, хранящиеся в этом архиве результаты определения Ca применительно к Черному морю носят приближенный характер, однако в контексте рассматриваемой нами задачи это не имеет принципиального значения, если не использовать данные, содержащие очевидные грубые искажения, такие, как, например, в работе [13]. В начале лета признаков аномалии нет, но в августе в центре восточной части моря Ca поднимается до ~ 1–2 мг/м3 и выше. Согласно указанным в работе [4] данным от 31 августа, ее значения превышали 5 мг/м3. При этом наиболее высокие значения Ca, превышающие 1 мг/м3, локализуются в пределах неправильной формы пятна, расположенного в районе с координатами ~ 43–44° с. ш., 35–39° в. д. Такой высокий уровень Ca следует считать весьма необычным, поэтому для получения по возможности более надежных выводов полезно выполнить дополнительный анализ, принимая во внимание вероятные проявления различного рода помех и искажений.

Р и с. 1. Результаты определения Ca в приповерхностном слое Черного моря по данным прибора MODIS-A 17.07.2015 г. (a), 27.08.2015 г. (b) и 03.09.2015 г. (c)
F i g. 1. Results of determining Cа in the near-surface layer of the Black Sea based on the MODIS-A data for 17.07.2015 (a), 27.08.2015 (b) and 03.09.2015 (c)
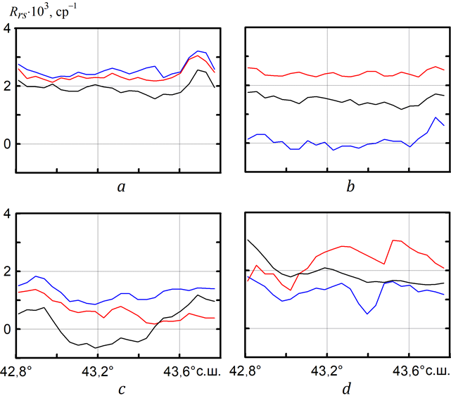
С этой целью рассмотрим подробнее результаты определения Ca в разные дни по данным приборов MODIS-A, MODIS-T и VIIRS. На рис. 2 показаны обозначаемые через Ca хранящиеся в архиве NASA продукты стандартной обработки измерений в формате Level-3m, получаемые при единичном пролете спутника над акваторией Черного моря. Эти данные представляют собой осредненные отсчеты в узлах регулярной координатной сетки с шагом 4 км. Вариации Ca в зависимости от географической широты при фиксированной долготе 36,19° в. д. показаны на рис. 2, а, с, при долготе 35,81° в. д. – на рис. 2, b и при долготе 37,35° в. д. – на рис. 2, d.

Р и с. 2. Сопоставление результатов определения Ca по данным приборов MODIS-A (черная кривая), MODIS-T (красная кривая), VIIRS (синяя кривая) 27.08.2015 г. (a), 29.08.2015 г.(b), 31.08.2015 г. (c), 03.09.2015 г. (d)
F i g. 2. Comparison of the results of determining Ca based on the MODIS-A (black curve), MODIS-T (red curve) and VIIRS (blue curve) data for 27.08.2015 (a), 29.08.2015 (b), 31.08.2015 (c) and 03.09.2015 (d)
Величины Ca на рис. 2 существенно превышают обычные для рассматриваемого района моря в летний сезон, имеющие уровень меньше 0,5 мг/м3. При этом по всем трем приборам 27 августа были получены примерно одинаковые результаты. Аналогичное совпадение наблюдается и по данным от 3 сентября. В эти дни значения Ca не превышают 2,0 мг/м3. Различие между результатами 27 августа и 3 сентября невелико и может быть вызвано естественным реальным изменением Ca в море в указанные дни.
Совсем другая картина наблюдается по данным съемок 29 и 31 августа. Результаты, полученные 29 августа по всем трем приборам, сильно различаются, а по данным VIIRS достигают ~ 2,4 мг/м3. Приборы MODIS-T и VIIRS 31 августа показали почти одно и то же (по ним Ca не превышает 1,5 мг/м3), но при этом, согласно MODIS-A, Ca достигала ~ 2,5 мг/м3.
Характерные повышенные значения Ca получены в окрестностях точек с координатами 43,60° с. ш., 35,81° в. д. 29 августа по данным VIIRS и 43,1458° с. ш., 36,1875° в. д. 31 августа по данным MODIS-A. Для сравнения в таблице приведены значения Ca по всем трем приборам в соответствующих узлах сетки данных, представленных в формате Level-3m. Приведенные в таблице примеры достаточно репрезентативны; наибольшие значения Ca здесь заметно ниже тех, которые даны в работе [4], но это не связано с пространственным расположением выбранных отсчетов. Как уже было отмечено выше, прямое сравнение двух версий материалов из архива NASA (обновленной в 2022 г. и предыдущей) говорит о том, что выполненная в 2022 г. переобработка данных привела к заметным отличиям результатов по сравнению с предыдущей версией соответствующих данных, чем и обусловлено указанное отличие.
Результаты определения Ca и Rrs(λ1) в отдельных точках
по данным различных приборов
Results of determining Ca and Rrs(λ1) at certain points based
on the data from various instruments
|
Дата / Date |
Прибор / Instrument |
Ca, мг/м3 / Ca, mg/m3 |
Rrs(λ1), ср–1 / Rrs(λ1), sr–1 |
|
|
MODIS-A |
1,69 |
0,00128 |
|
29.08.2015 г. / |
MODIS-T |
1,03 |
0,00238 |
|
29.08.2015 |
VIIRS |
2,35 |
–0,00013 |
|
|
MODIS-A |
2,54 |
–0,00049 |
|
31.08.2015 г. / |
MODIS-T |
1,45 |
0,00063 |
|
31.08.2015 |
VIIRS |
1,45 |
0,00089 |
Особенности результатов ясны из графиков коэффициента яркости морской поверхности Rrs(λ), построенных по данным MODIS и VIIRS для длин волны излучения λ, равных 412 и 410 нм соответственно. В дальнейшем будем обозначать эти длины волн как λ1. Графики на рис. 2 и 3 построены по тем же выборкам измерений. Значения Rrs(λ1) в двух выделенных точках приведены в таблице. Полученные по данным разных приборов значения коэффициентов яркости Rrs(λ1) плохо согласуются между собой. Это указывает на ошибки и искажения, связанные со сложностью определения Rrs(λ).
Самые существенные особенности, проявляющиеся в приведенных на рис. 3 графиках, заключаются в том, что по результатам измерений приборами VIIRS 29 августа и MODIS-А 31 августа были получены лишенные физического смысла отрицательные значения Rrs(λ1), причем это произошло именно в тех же случаях, для которых на рис. 2 прослеживаются наиболее высокие значения Ca. Вместе с тем условия 27 августа и 3 сентября были более благоприятными, и по данным всех трех приборов везде Rrs(λ1) > 0. Подчеркнем, что в реализованной в NASA системе обработки спутниковых данных при подготовке итоговых данных формата Level-3 фрагменты информации c отрицательными значениями Rrs(λ) из использования не исключаются.

P и с. 3. Результаты определения коэффициента яркости Rrs(λ1) по данным приборов MODIS-A (черная кривая), MODIS-T (красная кривая), VIIRS (синяя кривая) 27.08.2015 г. (a), 29.08.2015 г. (b), 31.08.2015 г. (c), 03.09.2015 г. (d)
F i g. 3. Results of determining the sea surface reflectance Rrs(λ1) based on the MODIS-A (black curve), MODIS-T (red curve) and VIIRS (blue curve) data for 27.08.2015 (a), 29.08.2015 (b), 31.08.2015 (c) and 03.09.2015 (d)
Величины Rrs(λ) получаются на одном из первых этапов обработки исходных данных при выполнении атмосферной коррекции. При определении величины Ca измерения излучения с длиной волны λ < 443 нм непосредственным образом не используются; в этой части спектра искажения проявляются наиболее отчетливо. В других частях спектра значения Rrs(λ) тоже могут быть искажены, хотя не столь очевидным образом.
На рис. 4 в качестве иллюстрации для тех же данных из таблицы показаны полные спектры Rrs(λ). Различие в коэффициентах Ca, полученных по разным приборам, является следствием различий в Rrs(λ), которые в свою очередь являются следствием действия искажающих факторов. Реальные значения Rrs(λ) не могут быть меньше нуля, поэтому такие измерения, в которых Rrs(λ1) < 0, плохо пригодны для практического использования. Как это хорошо видно на приведенных на рис. 4 графиках, если Rrs(λ1) имеет отрицательное значение, то при этом происходит искажение всего его спектра, что в итоге и приводит к завышению получаемых значений Ca.

Р и с. 4. Эмпирические спектральные зависимости Rrs(λ), полученные по данным MODIS-A (черная кривая), MODIS-T (красная кривая), VIIRS (синяя кривая) 29.08.2015 г. (a) и 31.08.2015 г. (b)
F i g. 4. Empirical Rrs(λ) spectral dependencies obtained from the MODIS-A (black curve), MODIS-T (red curve) and VIIRS (blue curve) data for 29.08.2015 (a) and 31.08.2015 (b)
Таким образом, если из рассматриваемых нами ситуаций исключить искаженные отсчеты с отрицательными значениями Rrs(λ1), то в оставшихся случаях Ca не будет превышать 2,0 мг/м3. Примечательно, что в работе [4] основной вывод об аномально высокой Ca сделан именно по данным прибора MODIS-Aqua от 31 августа, но если эти данные исключить из рассмотрения, в нашем распоряжении останутся полученные в этот же день съемки двумя другими приборами, благодаря чему в итоге потерь полезной информации не происходит. В работе [4] это не было учтено, и поэтому получилась завышенная оценка Ca.
Поскольку вследствие дополнительного вклада желтого вещества в поглощение света в воде значения Ca из архива NASA в Черном море не всегда совпадают с реальной Ca [8, 13, 14], интересно дополнительно проверить альтернативный подход, основанный на применении метода GIOP [1, 19]. В этом варианте Ca вычисляется через значения обусловленной фитопланктоном составляющей показателя поглощения света в воде aph(443). Получаемые при этом результаты будем обозначать как Ca1.
В силу того, что при реализации метода GIOP могут проявляться эффекты, связанные с неустойчивостью или неоднозначностью решения многомерной оптимизационной задачи, получаемые результаты зависят от неточностей в величинах Rrs(λ) сильнее, чем при определении Ca. Поэтому получаемые величины Ca1 чаще всего обладают явными признаками искажений или по меньшей мере имеют сомнительную достоверность. С этой точки зрения обстановка в целом в рассматриваемый период времени не была благоприятной. Тем не менее необходимые для успешного применения GIOP условия могут выполняться в отдельных небольших фрагментах информации, в пределах которых в показаниях хотя бы одного из приборов локально отсутствуют серьезные искажения.
В качестве примера можно рассмотреть выделенный из результатов съемки Черного моря прибором MODIS-A достаточно однородный участок, в котором нет значительных локальных флуктуаций результатов измерений (имеющих размеры ~ 1 км) между соседними элементами пространственного разрешения. Этот участок расположен в области повышенных значений Ca, имеет размеры ~ 5 × 5 км с координатами центра ~ 37,33° в. д., 43,18° с. ш. и содержит 23 представленных в формате Level-2 отсчета с пространственным разрешением ~ 1 км.
Приведем сравнение результатов определения концентрации хлорофилла а различными способами по спутниковым измерениям 03.09.2015 г. в пределах выделенного участка моря: <Ca> = 1,013 мг/м3; <Ca1> = 1,055 мг/м3; <aph(443)> = 0,038 м–1; <adg(443)> = 0,061 м–1; σ(Ca) = 0,051 мг/м3; σ(Ca1) = = 0,128 мг/м3.
Здесь через <x> и σ(x) обозначены среднее значение и стандартное отклонение величины x; adg(443) - обусловленная желтым веществом (вместе с детритом) составляющая показателя поглощения света при λ = 443 нм. Достоверность этих результатов подтверждается тем, что при реализации метода GIOP в пределах участка погрешности модельного воспроизведения эмпирических спектров коэффициенты Rrs(λ) не превышают нескольких процентов. Приведенные выше значения стандартных отклонений тоже указывают на достоверность полученных результатов.
Заметим, что метод GIOP не может быть применен к результатам съемок восточной части Черного моря 3 сентября приборами MODIS-Т и VIIRS вследствие сильного искажающего действия солнечного блика.
При определении Ca с помощью метода GIOP получилось такое же значение Ca1 ~ 1,0 мг/м3, как и при использовании применяемого в NASA стандартного метода. По уровню концентрации Ca ~ Ca1 ~ 1,0 мг/м3 оказались ниже, чем наблюдавшиеся в другие дни значения Ca, но это может быть связано с тем, что к 3 сентября уже произошел естественный спад аномальных значений, которые имели место 31 августа. Тем не менее уровень Ca ~ 1,0 мг/м3, очевидно, тоже является аномальным для летнего сезона. Полученное совпадение значений Ca и Ca1 при их равенстве 1,0 мг/м3 уже было ранее установлено в работе [17]. Это совпадение объясняется тем, что приведенные выше значения aph(443) и adg(443) такие же, как и в работе [17]. В основе разных методов вычисления Ca по спутниковым данным содержится различный физический смысл, и поэтому у каждого из них могут действовать различные причины возникновения ошибок в итоговых результатах. В таком случае совпадение результатов применения разных методов может служить в качестве косвенного подтверждения отсутствия существенных искажений в конкретном анализируемом фрагменте информации.
Заключение
В ходе выполнения анализа содержащихся в архиве NASA результатов определения концентрации хлорофилла а в Черном море, полученных по спутниковым измерениям летом 2015 г., показана необходимость учета проявлений существенных погрешностей и искажений. В качестве признаков ошибок в данных рассматривались расхождения в значениях между продуктами обработки данных оптических приборов MODIS и VIIRS, установленных на спутниках Aqua, Terra и Suomi NPP, и получение лишенных физического смысла отрицательных значений Rrs(λ) в коротковолновой части спектра. Кроме того, было выполнено сравнение результатов определения концентрации хлорофилла а в поверхностном слое моря, полученных с использованием двух расчетных методов – применяемого в NASA при стандартной операционной обработке и альтернативного, основанного на вычислении обусловленной фитопланктоном составляющей показателя поглощения света в море.
После исключения из анализа ошибочных данных было установлено, что на большой площади в восточной глубоководной части Черного моря в конце лета 2015 г. найденная по спутниковым данным концентрация хлорофилла а имела аномально высокие значения на уровне ~ 1–2 мг/м3.
Следует заметить, что описанная аномалия 2015 г. не является абсолютно исключительной. В качестве аналогичных случаев можно указать события в 2001, 2012 и 2019 гг. Наиболее вероятной причиной аномалии 2015 г. послужил интенсивный и продолжительный штормовой ветер.
1. An overview of approaches and challenges for retrieving marine inherent optical properties from ocean color remote sensing / P. J. Werdell [et al.] // Progress in Oceanography. 2018. Vol. 160. P. 186–212. https://doi.org/10.1016/j.pocean.2018.01.001
2. O'Reilly J. E., Werdell P. J. Chlorophyll algorithms for ocean color sensors – OC4, OC5 & OC6 // Remote Sensing of Environment. 2019. Vol. 229. P. 32–47. https://doi.org/10.1016/j.rse.2019.04.021
3. Bailey S. W., Werdell P. J. A multi-sensor approach for the on-orbit validation of ocean color satellite data products // Remote Sensing of Environment. 2006. Vol. 102, iss. 1–2. P. 12–23. https://doi.org/10.1016/j.rse.2006.01.015
4. Kubryakov A. A., Zatsepin A. G., Stanichny S. V. Anomalous summer-autumn phytoplankton bloom in 2015 in the Black Sea caused by several strong wind events // Journal of Marine Sys-tems. 2019. Vol. 194. P. 11–24. https://doi.org/10.1016/j.jmarsys.2019.02.004
5. Vedernikov V. I., Demidov A. B. Vertical Distribution of Primary Production and Chlorophyll During Different Seasons in Deep Regions of the Black Sea // Oceanology. 1997. Vol. 37, iss. 3. P. 376–384.
6. Surface chlorophyll in the Black Sea over 1978–1986 derived from satellite and in situ data / O. V. Kopelevich [et al.] // Journal of Marine Systems. 2002. Vol. 36, iss. 3–4. P. 145–160. https://doi.org/10.1016/S0924-7963(02)00184-7
7. Long-term variations of surface chlorophyll a and primary production in the open Black Sea / O. A. Yunev [et al.] // Marine Ecology Progress Series. 2002. Vol. 230. P. 11–28. https://doi.org/10.3354/meps230011
8. Bioopticheskie harakteristiki morey, omyvayuschih berega zapadnoy poloviny Rossii, po dannym sputnikovyh skanerov cveta 1998–2017 gg. / O. V. Kopelevich [i dr.] // Moskva : OOO «VASh FORMAT», 2018. 140 s. EDN YOSZPV.
9. Morel A., Prieur L. Analysis of variations in ocean color // Limnology and Oceanography. 1977. Vol. 22, iss. 4. P. 709–722. https://doi.org/10.4319/lo.1977.22.4.0709
10. Ocean color algorithms for SeaWiFS / J. E. O'Reilly [et al.] // Journal of Geophysical Research: Oceans. 1998. Vol. 103, iss. C11. P. 24937–24953. https://doi.org/10.1029/98JC02160
11. Are the world’s oceans optically different? / M. Szeto [et al.] // Journal of Geophysical Re-search. 2011. Vol. 116, iss. C7. C00H04. https://doi.org/10.1029/2011JC007230
12. Optical modeling of ocean waters: Is the Case 1 - Case 2 classification still useful? / C. D. Mobley [et al.] // Oceanography. 2004. Vol. 17, iss. 2. P. 60–67. https://doi.org/10.5670/oceanog.2004.48
13. Utochnennaya interpretaciya dannyh nablyudeniy Chernogo morya sputnikovym priborom SeaWiFS osen'yu 1998 goda / V. S. Suetin [i dr.] // Morskoy gidrofizicheskiy zhurnal. 2008. № 2. S. 68–79. EDN YORKCD.
14. Gregg W. W., Casey N. W. Global and regional evaluation of the SeaWiFS chlorophyll data set // Remote Sensing of Environment. 2004. Vol. 93, iss. 4. P. 463–479. https://doi.org/10.1016/j.rse.2003.12.012
15. Bio-optical characteristics of the Aegean Sea retrieved from satellite ocean color data / V. I. Burenkov [et al.] // The Eastern Mediterranean as a Laboratory Basin for the Assessment of Contrasting Ecosystems / Eds. P. Malanotte-Rizzoli, V. N. Eremeev. Dordrecht : Springer, 1999. P. 313–326. (NATO Science Series, vol. 51). https://doi.org/10.1007/978-94-011-4796-5_21
16. Ocenka izmenchivosti opticheskih svoystv vody v Chernom more letom 1998 goda po dan-nym sputnikovogo pribora SeaWiFS / V. S. Suetin [i dr.] // Morskoy gidrofizicheskiy zhurnal. 2002. № 6. S. 44–54. EDN POCMUL.
17. Suetin V. S., Korolev S. N. Ispol'zovanie sputnikovyh dannyh dlya opredeleniya ha-rakteristik pogloscheniya sveta v vodah Chernogo morya // Morskoy gidrofizicheskiy zhur-nal. 2021. T. 37, № 2 (218). S. 222–232. EDN YDISMQ. https://doi.org/10.22449/0233-7584-2021-2-222-232
18. Variations of light absorption by suspended particles with the chlorophyll a concentration in oceanic (case 1) waters: Analysis and implications for bio-optical models / A. Bricaud [et al.] // Journal of Geophysical Research: Oceans. 1998. Vol. 103, iss. C13. P. 31033–31044. https://doi.org/10.1029/98JC02712
19. Generalized ocean color inversion model for retrieving marine inherent optical properties / P. J. Werdell [et al.] // Applied Optics. 2013. Vol. 52, iss. 10. P. 2019–2037. https://doi.org/10.1364/AO.52.002019
20. Uncertainties in Ocean Colour Remote Sensing / Ed. F. Mélin. Canada, Dartmouth : IOCCG, 2019. 164 p. (IOCCG Report Series ; No. 18). URL: https://ioccg.org/wp-content/uploads/2020/01/ioccg-report-18-uncertainties-rr.pdf (date of access: 30.09.2025).
21. Opticheskie svoystva aerozoley i atmosfernaya korrekciya sputnikovyh nablyudeniy Cher-nogo morya / V. S. Suetin [i dr.] // Morskoy gidrofizicheskiy zhurnal. 2013. № 1. C. 34–44. EDN TFYSDP.
22. Suetin V. S., Korolev S. N., Kucheryavyy A. A. Proyavlenie effektov solnechnogo blika pri opredelenii opticheskih parametrov vody v Chernom more po sputnikovym izmere-niyam // Morskoy gidrofizicheskiy zhurnal. 2016. № 3. C. 52–62. EDN WNAFTP. https://doi.org/10.22449/0233-7584-2016-3-52-62
23. Application of SeaWiFS data for studying variability of bio-optical characteristics in the Bar-ents, Black and Caspian Seas / O. V. Kopelevich [et al.] // Deep Sea Research Part II: Topical Studies in Oceanography. 2004. Vol. 51, iss. 10–11. P. 1063–1091. https://doi.org/10.1016/j.dsr2.2003.10.009
24. Estimating pixel-level uncertainty in ocean color retrievals from MODIS / M. Zhang [et al.] // Optics Express. 2022. Vol. 30, iss. 17. P. 31415–31438. https://doi.org/10.1364/OE.460735




